চতুর্থ প্রাথমিক শিক্ষা উন্নয়ন কর্মসূচি (পিইডিপি) আওতায় সাব-কম্পোনেন্ট "প্রাক প্রাথমিক শিক্ষা" বাস্তবায়নের নিমিত্ত ২০২৩-২৪ অর্থ বছরে পিইডিপি-৪ এর আওতায় নিয়োজিত প্রাক প্রাথমিক সহকারী শিক্ষক/শিক্ষিকাগণের ৫% বিশেষ সুবিধা ভাতা বাবদ ব্যয় নির্বাহকল্পে বরাদ্দ প্রদান সংক্রান্ত MOPME এর নির্দেশনা। (০৮/০৮/২০২৩)
চতুর্থ প্রাথমিক শিক্ষা উন্নয়ন কর্মসূচি (পিইডিপি) আওতায় সাব-কম্পোনেন্ট "প্রাক প্রাথমিক শিক্ষা" বাস্তবায়নের নিমিত্ত ২০২৩-২৪ অর্থ বছরে পিইডিপি-৪ এর আওতায় নিয়োজিত প্রাক প্রাথমিক সহকারী শিক্ষক/শিক্ষিকাগণের ৫% বিশেষ সুবিধা ভাতা বাবদ ব্যয় নির্বাহকল্পে বরাদ্দ প্রদান সংক্রান্ত MOPME এর নির্দেশনা। (০৮/০৮/২০২৩)
পিইডিপি-৪ এর আওতায় নিয়োজিত প্রাক-প্রাথমিক শিক্ষক/শিক্ষিকাগণের বিশেষ সুবিধাভাতার বরাদ্দ ছাড় (০৮/০৮/২০২৩)
গণপ্রজাতন্ত্রী বাংলাদেশ সরকার
প্রাথমিক ও গণশিক্ষা মন্ত্রণালয়
প্রাথমিক শিক্ষা অধিদপ্তর
চতুর্থ প্রাথমিক শিক্ষা উন্নয়ন কর্মসূচি (পিইডিপি৪
সেকশন-২, মিরপুর, ঢাকা-১২১৬ ।
স্মারক নং 38,01,0000500.88.001.22-50
তারিখঃ ২৪ ভাদ্র ১৪৩০
০৮ জুলাই ২০২৩
প্রেরক: এইচ এম আবুল বাশার উপপরিচালক (অর্থ)
প্রাপক: চিফ একাউন্টস এন্ড ফিন্যান্স অফিসার প্রাথমিক ও গণশিক্ষা মন্ত্রণালয়, সিজিএ ভবন, ৫ম তলা, সেগুন বাগিচা, ঢাকা।
বিষয়: চতুর্থ প্রাথমিক শিক্ষা উন্নয়ন কর্মসূচি (পিইডিপি) আওতায় সাব-কম্পোনেন্ট "প্রাক প্রাথমিক শিক্ষা" বাস্তবায়নের নিমিত্ত ২০২৩-২৪ অর্থ বছরে পিইডিপি-৪ এর আওতায় নিয়োজিত প্রাক প্রাথমিক সহকারী শিক্ষক/শিক্ষিকাগণের ৫% বিশেষ সুবিধা ভাতা বাবদ ব্যয় নির্বাহকল্পে বরাদ্দ প্রদান।
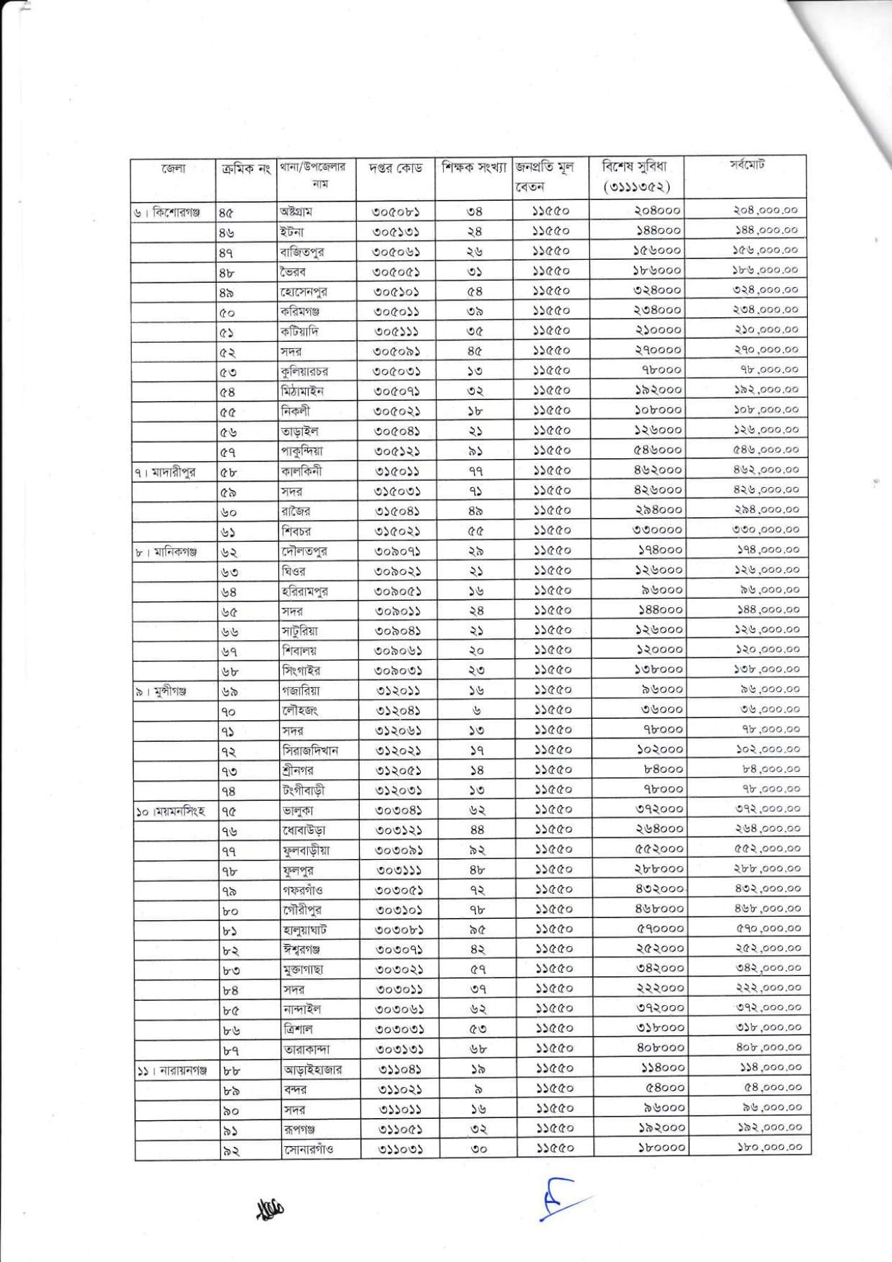
নির্দেশক্রমে চতুর্থ প্রাথমিক শিক্ষা উন্নয়ন কর্মসূচি (পিইডিপি ৪) এর সাব-কম্পোনেন্ট "প্রাক প্রাথমিক শিক্ষা" বাস্তবায়নের নিমিত্ত ২০২৩-২৪ অর্থ বছরে পিইডিপি-৪ এর আওতায় নিয়োজিত প্রাক প্রাথমিক সহকারী শিক্ষক/শিক্ষিকাগণের৫% বিশেষ প্রণোদনা কারণ ব্যয় নির্বাহের জন্য সংযুক্ত তালিকায় বর্ণিত খাত ও অর্থনৈতিক কোডে (৩১১১৩৫২ ) সর্বমোট ১৪,৬৫,৮০,০০০.০০ (চৌদ্দ কোটি পঁয়ষটি লক্ষ আশি হাজার) টাকা সংশ্লিষ্ট থানা/উপজে শিক্ষা অফিসারগণের অনুকূলে বরাদ্দ এবং ব্যয় করার মঞ্জুরী জ্ঞাপন করা হলো।
২। এ বায় ২০২৩-২৪ অর্থ বছরের উন্নয়ন বাজেটের মঞ্জুরী নং ২১, চতুর্থ প্রাথমিক শিক্ষা উন্নয়ন কর্মসূচি (পিইডিপি৪) এর সংস্থা কোড নং ১২৪ এবং হিসাবের খাত ২২৪২৩৭৯০০ এর আওতায় সংযুক্ত ছকে উল্লেখিত অর্থনৈতিক কোডের অনুকূলে বরাদ্দকৃত টাকা থেকে নির্বাহ হবে।
৩। অর্থ ব্যয়ের শর্তাবলি
ক) বরাদ্দকৃত অর্থ ১০০% জিওবি খাত হতে বায় নির্বাহ করতে হবে। খ) কোন অবস্থায়ই বরাদ্দকৃত অর্থের অতিরিক্ত অর্থ উত্তোলন/ব্যয় করা যাবে না। গ) এই বাঘ কোন ক্রমেই সংযুক্ত ছকে বর্ণিত খাত এবং অর্থনৈতিক কোড ব্যতিত অন্য কোন উপখাত এবং কোডে ব্যয় করা যাবে না। ঘ) সরকারী আর্থিক বিধি বিধান অনুসরণপূর্বক অর্থ ব্যয় করতে হবে। ঙ) এ বায়ের যাবতীয় অডিট তাঁর দপ্তরে সম্পাদিত হবে বিধায় খরচের সকল ভাউচার তাঁর অফিসে সংরক্ষণ করতে হবে যেন চাহিবা মাত্র পাওয়া যায়। চ) বরাদ্দকৃত অর্থ ব্যয়ের বিবরণী অবশ্যই ডিপিই-এর Web based Computerized Accounting System এ ৭ (সাত) দিনের মধ্যে এন্ট্রি দিতে হবে। অন্যথায় পরবর্তী বরাদ্দ দেয়া সম্ভব হবে না। কোন প্রকার অনিয়মিত ব্যয়ের ক্ষেত্রে সংশ্লিষ্ট আয়ন-বায়ন কর্মকর্তা ব্যক্তিগত ভাবে দায়ী থাকবে।
৪। এতে মহাপরিচালক মহোদয়ের অনুমোদন রয়েছে। চিফ একাউন্টস এন্ড ফিন্যান্স অফিসার-কে পৃষ্ঠাংকনপূর্বক সংশ্লিষ্ট হিসাবরক্ষণ অফিসে (প্রয়োজন অনুযায়ী) প্রেরণ করার জন্য অনুরোধ করা
হলো।
স্বাক্ষরিত
এইচ এম আবুল বাশার উপপরিচালক (অর্থ)
পিডিএফ ডাউনলোড











.jpg)
.jpg)

No comments
Your opinion here...