বাজেট পরিপত্র-২ এর আওতায় প্রাথমিক শিক্ষা অধিদপ্তর ও অধিদপ্তরাধীন প্রতিষ্ঠানসমূহের ২০২৩-২৪ অর্থবছরের বাজেট প্রাক্কলন এবং ২০২৪-২৫ এবং ২০২৫-২৬ সালের পক্ষেপণ এর (পরিচালন) সিলিং ibas++ এ entry ও approve সংক্রান্ত DPE এর নির্দেশনা। (২০/০৪/২০২৩)
বাজেট পরিপত্র-২ এর আওতায় প্রাথমিক শিক্ষা অধিদপ্তর ও অধিদপ্তরাধীন প্রতিষ্ঠানসমূহের ২০২৩-২৪ অর্থবছরের বাজেট প্রাক্কলন এবং ২০২৪-২৫ এবং ২০২৫-২৬ সালের পক্ষেপণ এর (পরিচালন) সিলিং ibas++ এ entry ও approve সংক্রান্ত DPE এর নির্দেশনা। (২০/০৪/২০২৩)
গণপ্রজাতন্ত্রী বাংলাদেশ সরকার
প্রাথমিক শিক্ষা অধিদপ্তর
সেকশন -২, মিরপুর, ঢাকা ১২১৬
www.dpe.gov.bd
স্মারক নং: ৩৮.০১.০০০০.১৫২.০২০.০২.২০২০-১৩৬৪
তারিখ: ২০ এপ্রিল ২০২৩
বিষয়: বাজেট পরিপত্র-২ এর আওতায় প্রাথমিক শিক্ষা অধিদপ্তর ও অধিদপ্তরাধীন প্রতিষ্ঠানসমূহের ২০২৩-২৪ অর্থবছরের বাজেট প্রাক্কলন এবং ২০২৪-২৫ এবং ২০২৫-২৬ সালের পক্ষেপণ এর (পরিচালন) সিলিং ibas++ এ entry ও approve সংক্রান্ত।
সুত্র: ১। প্রাগম এর স্মারক নং: ৩৮.০০.০০০০.০০৬.২০.১৪৬.১৯-১২৫, তারিখ: ১০ এপ্রিল ২০২৩
২। অর্থ মন্ত্রণালয়ের স্মারক নং: ০৭.১০১.০২০.০০.০০.০১১.২০২২-৪৮০, তারিখ: ০৮ এপ্রিল ২০২৩
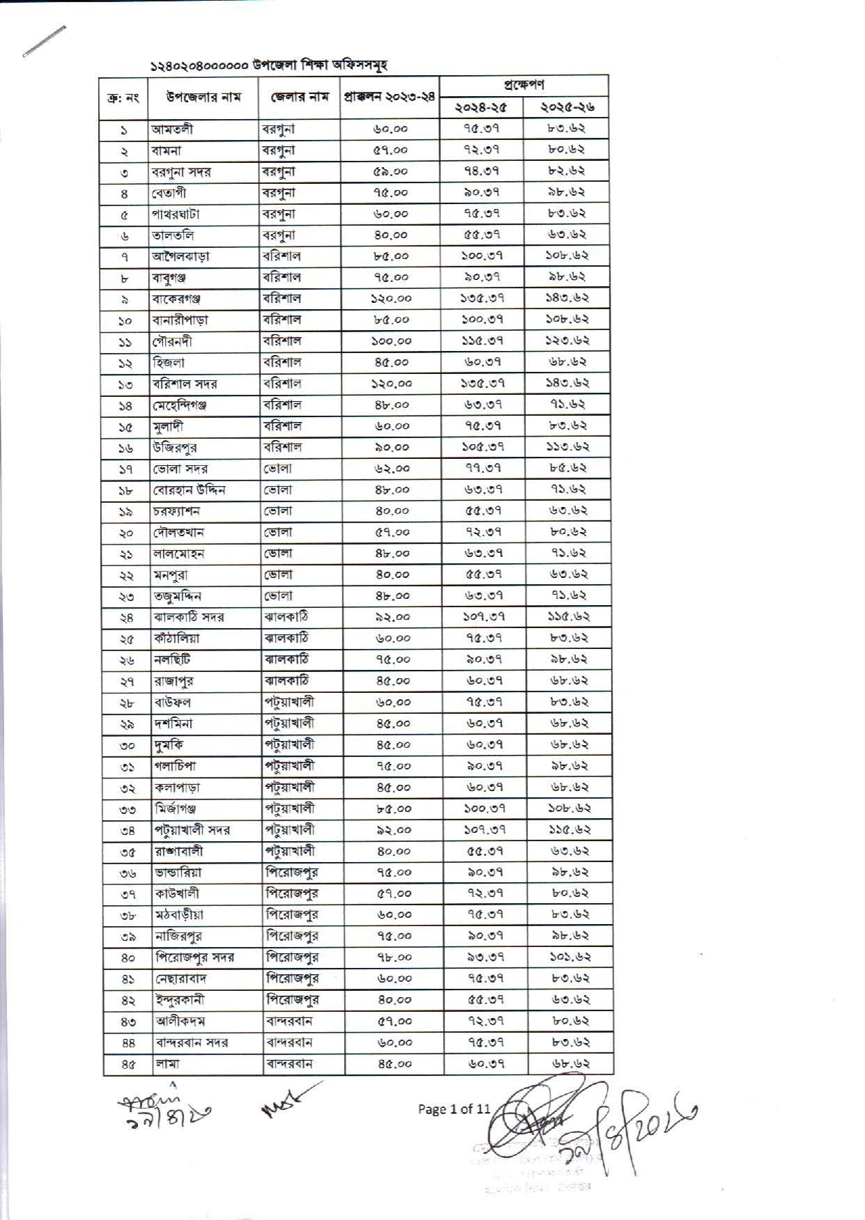
উপর্যুক্ত বিষয় ও সূত্রের প্রেক্ষিতে জানানো যাচ্ছে যে, অর্থ মন্ত্রণালয়, অর্থ বিভাগ, বাজেট অনু বিভাগ-১ হতে সুত্রক্তো স্মারকে বাজেট পরিপত্র-২ জারি করা হয়েছে। অর্থ বিভাগের পত্রের আলোকে ২০২৩-২৪ সালের প্রাক্কলন এবং ২০২৪- ২৫ ও ২০২৫-২৬ অর্থবছরে প্রক্ষেপণ (পরিচালন) বাজেট প্রাথমিক শিক্ষা অধিদপ্তরাধীন ১২৪০২০২০০০০০০ বিভাগীয় প্রাথমিক শিক্ষা অফিসারের কার্যালয় সমূহ; ১২৪০২০৩০০০০০০ জেলা প্রাথমিক শিক্ষা অফিস সমূহ; ১২৪০২০৪০০০০০০ উপজেলা শিক্ষা অফিস সমূহ এবং ১২৪০২০৫০০০০০০ মেট্রোপলিটন থানা শিক্ষ অফিস সমূহের সিলিং প্রস্তুত ও ibas++ এ এন্ট্রি করা হয়েছে।
২। ২০২৩-২৪ অর্থবছরে উল্লিখিত চারটি প্রতিষ্ঠান কর্তৃক স্ব স্ব প্রতিষ্ঠানের বাজেটের প্রাক্কলন ও প্রক্ষেপণ অর্থনৈতিক কোড ভিত্তিক ibas++ system এর মাধ্যমে entry ও approve কার্যক্রম ২৭/০৪/২০২৩ খ্রী: তারিখের মধ্যে সম্পন্ন করার জন্য অনুরোধ করা হলো।
স্বাক্ষরিত
মোঃ নুরুল ইসলাম
সহকারী পরিচালক( অর্থ-রাজস্ব)
প্রাথমিক শিক্ষা অধিদপ্তর।


















No comments
Your opinion here...