ad

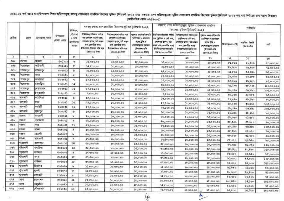
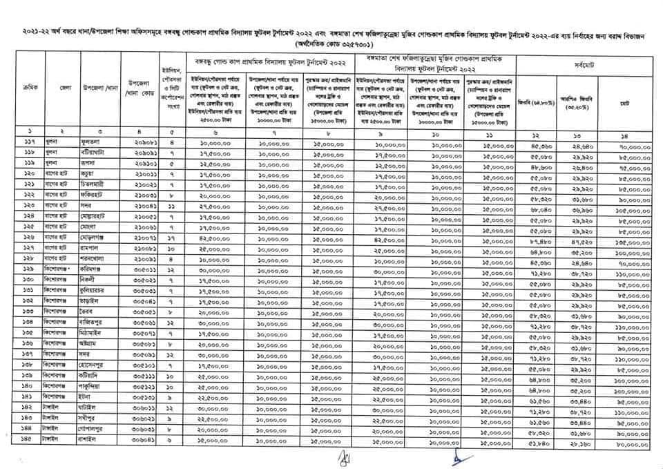
বঙ্গবন্ধু ও বঙ্গমাতা গোল্ডকাপ প্রাথমিক বিদ্যালয় ফুটবল টুর্নামেন্ট ২০২২ এর খেলা পরিচালনার ব্যয় নির্বাহের জন্য বরাদ্দ ও ব্যয় মঞ্জুরী প্রদান প্রসঙ্গে চিঠি (০২/০৬/২২)।

Views

 


বঙ্গবন্ধু ও বঙ্গমাতা গোল্ডকাপ প্রাথমিক বিদ্যালয় ফুটবল টুর্নামেন্ট ২০২২ এর খেলা পরিচালনার ব্যয় নির্বাহের জন্য বরাদ্দ ও ব্যয় মঞ্জুরী প্রদান প্রসঙ্গে চিঠি (০২/০৬/২২)।





















No comments

Your opinion here...

Theme images by fpm. Powered by Blogger.