ad

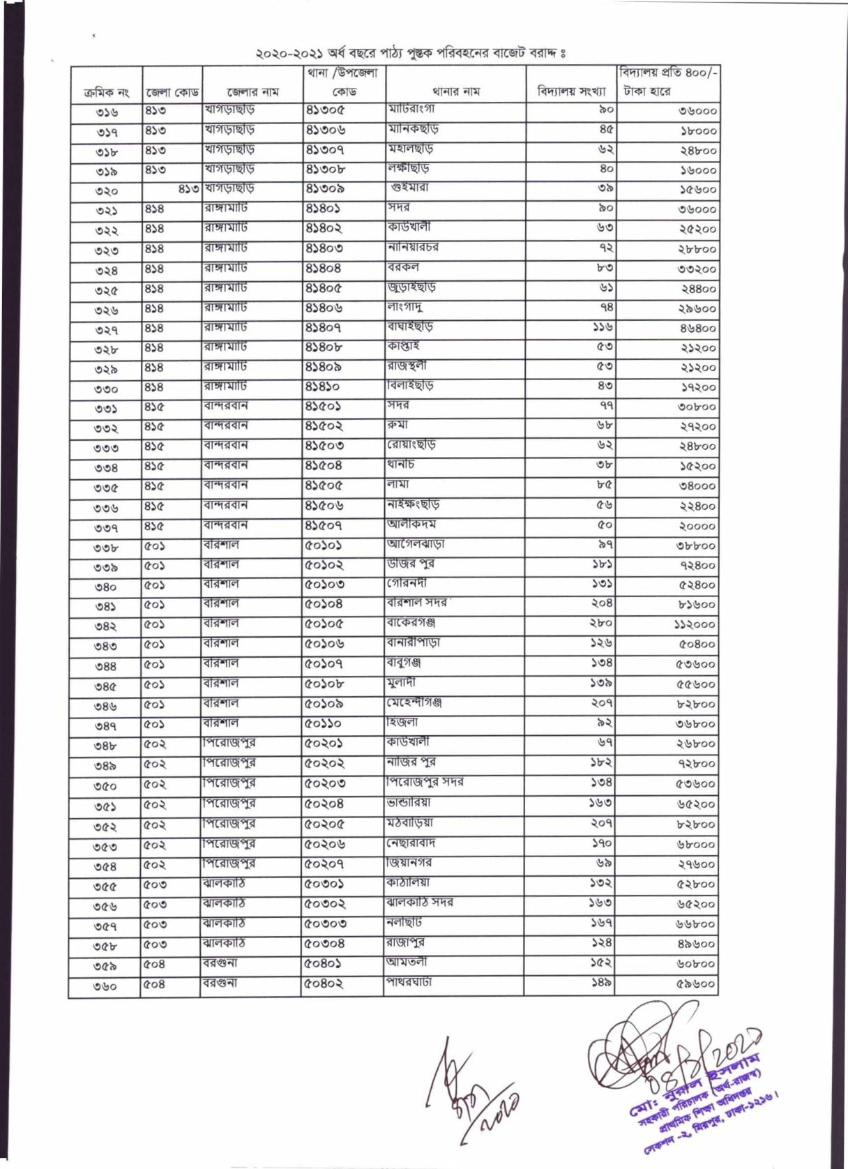
২০২১ শিক্ষাবর্ষের বিনামূল্যের পাঠ্যপুস্তক বিদ্যালয় পর্যায়ে পরিবহনের নিমিত্ত বরাদ্দ প্রদান।(০৪/০১/২০২১) বিদ্যালয় প্রতি বরাদ্দ ৪০০ টাকা করে।

Views

 


২০২১ শিক্ষাবর্ষের বিনামূল্যের পাঠ্যপুস্তক বিদ্যালয় পর্যায়ে পরিবহনের নিমিত্ত বরাদ্দ প্রদান।(০৪/০১/২০২১)
বিদ্যালয় প্রতি বরাদ্দ ৪০০ টাকা করে।
Allocation of free textbooks for school level transportation for the academic year 2021. (04/01/2021) 400 rupees allocated per school.















No comments

Your opinion here...

Theme images by fpm. Powered by Blogger.